Una interesante aplicación de las probabilidades condicionales, ya vista en el artículo anterior y que ahora analizaremos en forma más detallada, es el análisis de los exámenes diagnósticos, punto crucial en la práctica clínica.
Este artículo pretende reposicionar en el intelecto del lector conceptos fundamentales del análisis probabilístico del diagnóstico, que muchas veces tienden a confundirse y con ello a hacer una interpretación poco adecuada de los resultados de una prueba; la confusión, a menudo, tiene su origen en la falta de claridad para discernir cuales son las características propias de la prueba diagnóstica y cuáles son las características propias de la población en la que se está aplicando dicha prueba.
El lector recordará el inexorable cruce entre el verdadero estado de la naturaleza y la percepción que tenemos de ella; este cruce nos lleva a tomar decisiones correctas o incorrectas. En el diagnóstico el verdadero estado de la naturaleza lo revela el examen que conocemos como PATRON DE ORO o GOLD STANDARD y la percepción que tenemos de la naturaleza nos la da el resultado de un examen: POSITIVO O NEGATIVO. Esta situación se puede resumir en la siguiente tabla:
Tabla 1

**Chi Cuadrado. ** p < 0,05
Entre paréntesis se presenta, como desviación estándar, la dispersión de los promedios.
En consecuencia, al aplicar una prueba diagnóstica a una población, el número de sujetos sometidos al examen, n, se particiona según la siguiente tabla:
Tabla 2

**Chi Cuadrado. ** p < 0,05
Entre paréntesis se presenta, como desviación estándar, la dispersión de los promedios.
Esto es: a + c es el número total de enfermos en la población; b+d es el número total de sanos en la población; a+b es el número de sujetos cuyo examen es positivo y c+d el número de sujetos cuyo examen es negativo. Los verdaderos positivos, (enfermos y con examen positivo) son “a” y los verdaderos negativos (sanos y con examen negativo) son “d”; en forma análoga los falsos positivos (sanos con examen positivo) son “b” y los falsos negativos (enfermos con examen negativo) son “c”. Así es posible definir las siguientes probabilidades de “buena o correcta clasificación”:
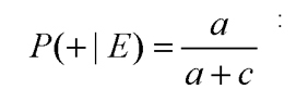
probabilidad de tener examen positivo dado el hecho que se está enfermo, es la capacidad que tiene el examen de detectar a un enfermo; esta probabilidad se conoce como SENSIBILIDAD del examen.
>

probabilidad de tener examen negativo dado el hecho que se está sano, es la capacidad que tiene el examen de detectar a un sano; esta probabilidad se conoce como ESPECIFICIDAD del examen.

probabilidad de ser verdadero positivo o verdadero negativo, es decir la capacidad que tiene el examen de clasificar correctamente a un sujeto, esta probabilidad se conoce como la EFICIENCIA del examen.
La sensibilidad, especificidad y eficiencia son CARACTERÍSTICAS PROPIAS del examen y NO DEPENDEN de la población donde se apliquen.
Por ejemplo, de la siguiente tabla se desprende:
Tabla 3


Es decir 85% de sensibilidad, 89% de especificidad y 88,5% de eficiencia. Como se observa este examen tiene mayor capacidad de descartar la enfermedad.
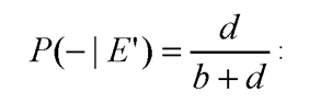
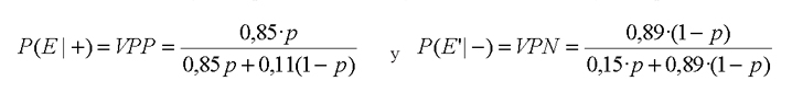
Desde el punto de vista de la utilidad clínica, para el pronóstico, es de suma importancia estimar la probabilidad de desarrollar la enfermedad dado el hecho de obtener un examen positivo, y, de no desarrollar la enfermedad dado el hecho de obtener un examen negativo; estas probabilidades reciben el nombre de VALOR PREDICTIVO POSITIVO (VPP) y VALOR PREDICTIVO NEGATIVO (VPN), respectivamente. De la Tabla 2 se obtiene:

Expresiones que aplicadas a la Tabla 3 dan como resultado:

Es decir el valor del pronóstico de no enfermedad es muy superior en el caso de obtener un examen negativo.
Tanto el VPP como el VPN no son características del examen sino de la población en la cual se aplica el mismo, pues dependen de la prevalencia de la enfermedad que se desea estudiar. En efecto, dada una sensibilidad “s”, una especificidad “e” y una prevalencia “p” y recordando que

La Tabla 2 se puede rescribir:
Tabla 4

De donde se obtiene:

Es decir tanto el VPP y el VPN son funciones de la prevalencia, para una sensibilidad y una especificidad dadas. Por ejemplo para una sensibilidad de 0,85 y una especificidad de 0,89 (de los datos de la Tabla 3), las expresiones anteriores son:

Expresiones que dependen de la prevalencia “p” y que se representan en la Figura 1:
Figura 1.
Las Figuras 2 y 3, muestran las curvas de VVP y VVN para algunas combinaciones de sensibilidad y especificidad:

Figura 2

Figura 3
La Figura 4, muestra el VPP y el VPN para sensibilidad y especificidad casi perfectas.
Figura 4
La conclusión más interesante de este tópico es que la capacidad pronóstica de un examen depende de la población a la que se aplique dicha prueba, es decir un examen que es muy bueno en el Hospital A podría no serlo en el Hospital B.