¹Programa de Especialización en Pediatría, Facultad de Medicina, Departamento de Pediatría, Pontificia Universidad Católica de Chile.
2Centro Endocrinológico Clínica Santa María.
3Escuela de Salud Pública, División de Bioestadística, Facultad de Medicina, Universidad de Chile.
4Unidad de Endocrinología Infantil, Facultad de Medicina, Departamento de Pediatría, Pontificia Universidad Católica de Chile.
Correspondencia a: Dr. Hernán García Bruce
e-mail: hgarciab@gmail.com hgarciab@gmail.com
Fax: 6384307 Teléfono: 3548087
Recibido: 5 Septiembre de 2008 Aceptado: 01 diciembre de 2008
Background: Medical treatment of obesity requires a multidisciplinary approach including dietary, exercise and behavioral interventions. Aim: To report the results of a multidisciplinary program for the treatment of obesity in children. Patients and Methods: Three hundred twenty four children (155 males), aged between 5 and 18 year, were treated with diet, exercise and behavioral modification, between 1999 and 2006. At baseline and at the end of follow up, weight, height, z score for body mass index (BMI), blood pressure and features of the metabolic syndrome were assessed. Results: z scores for IMC decreased by 0.28 points (95% confidence intervals: -0.31 to -0.25). Sixty percent of patients achieved a weight reduction of 5% of more of their initial weight. In a multiple linear regression model, weight loss was directly associated with the follow up time and inversely associated with the initial waist circumference. Patients had a reduction of 0.05 z score points of BMI per month (95% confidence intervals –0.07 to –0.025; p < 0.001), while adhering to the program. The overall compliance with the three months treatment period was 59%. Conclusions: In children and teenagers, a multidisciplinary management of obesity achieves a sustained weight loss, that ifs proportional to the lapse of adherence to the program.
Key words: obesity, children, adolescent, treatment.
La obesidad y el sobrepeso constituyen un problema creciente en nuestro país, y este es actualmente considerado una epidemia mundial por la Organización Mundial de la Salud (WHO 2000)1.
La malnutrición por exceso en población infantil de edad escolar en diferentes países fue analizada recientemente por Wang (2006)2; sus resultados señalaron que la prevalencia se ha incrementado en 23 de los 25 países evaluados, con excepción de Rusia y Polonia. El aumento más importante ocurrió en la población urbana y en los países desarrollados2.
En Chile, estudios transversales efectuados entre 1986 y 1998, en diferentes ciudades del país, demostraron que el sobrepeso (definido como IMC entre p85 y p95) ha aumentado en forma significativa: de 8,3% a 19,6% y 5,4% a 14,6% en varones prepúberes y púberes, respectivamente, y de 10,2% a 16,2% y 9,7% a 24,9% en mujeres prepúberes y púberes, respectivamente. La obesidad (definida como IMC mayor p95) sigue la misma tendencia, con aumentos de 4,3% a 29,5% y 1,6% a 14,6% en hombres y de 4,7% a 24,0% y 2,3% a 17,6% en mujeres, en ambos casos prepúberes y púberes respectivamente3.
En nuestro país, la prevalencia de malnutrición por exceso varía entre 37,0% y 33,9% en varones de 6 años, y entre 40,4% y 34,3% en mujeres de la misma edad (año 2000), al usar los criterios de obesidad y sobrepeso de la OMS o del CDC-2000, respectivamente4.
El riesgo de niños obesos para desarrollar intolerancia a la glucosa, resistencia a la insulina, hiperlipidemia, e hipertensión arterial está bien establecido. Además, existeel riesgo a corto plazo de morbilidad importante, derivada principalmente de problemas ortopedicos y psicosociales5.
En Chile, la prevalencia comunicada de intolerancia a la glucosa en ninos y adolescentes obesos se ubica entre 3,8%6 y 11,0%7 dependiendo de la gravedad del exceso de peso. Tambien se ha observado resistencia a la insulina e insulinemia de ayuno elevada en un 79% y 67%, respectivamente8 de ninos con obesidad avanzada.
Como conclusion de una reciente revision sistematica publicada por nuestro grupo9, la gran mayoria de los ninos obesos continuan con ese diagnostico en la etapa adulta. Encontramos 6 estudios que consistentemente muestran esta persistencia en el tiempo con OR (odds ratio) entre 2 y 20,2. Sin embargo, los estudios realizados hasta la fecha no han sido capaces de asociar nitidamente obesidad infantil y mortalidad general o cardiovascular en la vida adulta, para lo cual se requieren mas estudios prospectivos9.
Actualmente no hay intervenciones basadas en evidencia que hayan demostrado claramente la utilidad del tratamiento de la obesidad. Solo intervenciones multifactoriales, que incluyan dieta, actividad fisica e intervenciones conductuales podrian ser beneficiosas. Cada una de ellas por separado no ha demostrado hasta ahora tener la misma efectividad que el conjunto10,11.
Los estudios son en general heterogeneos en cuanto a las definiciones del diagnostico y a los resultados, con casuisticas pequenas y perdidas importantes durante el seguimiento10.
El enfoque racional del problema reside en enfatizar la prevencion, a traves de un completo registro del estado nutricional, y consejeria a la familia por parte del medico de atencion primaria respecto de alimentacion saludable y cambios en el estilo de vida12.
En casos de falta de respuesta al manejo inicial, o si existe motivacion por parte del paciente o su familia, se debe realizar un enfoque multidisciplinario a traves de programas que incluyan modificaciones en los habitos de alimentacion, actividad fisica sistematica, apoyo psicologico, y que integren activamente a la familia como pilar del tratamiento12-14.
Los objetivos de nuestro trabajo fueron:
a) Evaluar los resultados de un programa integral para el tratamiento de obesidad que se desarrolla en el Centro Endocrinologico de la Clinica Santa Maria, y que cumple con los criterios antes mencionados de activa intervencion.
b) Determinar la variacion del puntaje z del IMC (zIMC), y el exito del tratamiento (baja peso . 5% del peso inicial), evaluando variables predictoras de la respuesta.
Pacientes y Metodos
Trabajo de tipo prospectivo, observacional, que analiza una cohorte no concurrente.
Características de los sujetos
Entre los años 1999 y 2006 se evaluaron 324 niños de ambos sexos, mayores de 5 años, con diagnóstico de obesidad o sobrepeso, los que ingresaron al programa integral de obesidad del Centro Endocrinológico de la Clínica Santa María.
Este centro atiende población de estrato socioeconómico medio, en la ciudad de Santiago, Chile.
Criterios de inclusión
Se incluyeron pacientes con diagnósticos de sobrepeso y obesidad (sobrepeso= IMC ≥ p85 y < p95, obesidad= IMC ≥ p95), que habían fallado en intentos anteriores por bajar de peso.
Descripción del programa
El programa se desarrolla durante 3 meses y consiste en un trabajo intensivo con un equipo multidisciplinario que incluye la participación de endocrinólogo pediatra, nutricionista, profesor de educación física y psicólogo.
Se realizaron controles médicos cada 3 semanas, investigando factores de riesgo cardiovascular, patología endocrinológica y siquiátrica y uso de fármacos.
El ejercicio consistió en actividades programadas y dirigidas por el profesor de educación física 3 veces por semana, con duración de 30 a 45 minutos por sesión. El ejercicio fue aeróbico, de contracción isométrica e isotónica, y de flexibilidad, en forma de juego. Se evalúo la condición basal. La actividad se efectuó bajo un régimen de 55 y 85% de la frecuencia cardíaca máxima.
Los controles con nutricionista se realizaron 3 veces al mes, indicándose una dieta normocalórica balanceada, basada en la pirámide alimentaria, de acuerdo a peso ideal para edad, sexo y actividad física. Esta dieta se configuró con proteínas en un 15 a 20%, con grasa (colesterol < 300 mg) en 20 a 25% y carbohidratos de bajo índice glicémico en 50 a 60%. La alimentación del día se dividió en 6 porciones de consistencia sólida y con aporte de fibra. Los pacientes recibieron apoyo en talleres grupales de educación del tema.
El apoyo psicológico consistió en el diagnóstico personalizado, y manejo con técnicas individuales de tipo gráfico, de expresión verbal, y de refuerzo positivo. Además se realizaron técnicas grupales familiares y con sus pares. Se reforzaron las expectativas de éxito y de autoimagen, y se buscó recuperar, el contacto con las señales fisiológicas de hambre, saciedad y ansiedad. Se entrenaron las capacidades de expresión y canalización de emociones, favoreciendo la adquisición de conductas alimentarías adecuadas y la adhesión a la pauta indicada.
Variables estudiadas
Al momento de ingresar al programa se consignaron las siguientes variables: edad, peso, talla, índice de masa corporal (IMC= peso/talla2 en k/m2), diagnóstico nutricional (obesidad= IMC ≥ p95, sobrepeso= IMC ≥ p85 y < p95), glicemia e insulina de ayuno, HOMA (insulina de ayuno x glicemia de ayuno/405), colesterol total, LDL y HDL, triglicéridos (TG), relación TG/HDL, presión arterial, porcentaje de grasa medido por bioimpedanciometría, circunferencia de cintura, fecha de ingreso, y tiempo de la intervención.
Se registraron también las mediciones hechas en el último control realizado durante la estadía en el programa: peso, talla, IMC, porcentaje de baja de peso (peso final/peso inicial x 100) y diagnóstico nutricional.
Se calculó el puntaje z del IMC (zIMC) con el programa Epi Info versión 3.3.2 (www.cdc.gov) para ajuste por edad y sexo. Se generó la variable hipertensión arterial de acuerdo a la clasificación propuesta por la International Pediatric Hypertension Association 2006 (www.pediatrichypertension.org), y la de síndrome metabólico de acuerdo a un modificación de los criterios definidos por Cook15 (por carencia de datos de perímetro de cintura para nuestra población), usando 3 o más de los siguientes criterios: Obesidad (IMC ≥ p95), TG > 110 mg/dL, HDL < 40 mg/dL, glicemia > 100 mg/dL, presión arterial ≥ p 95 para talla, edad y sexo.
Se categorizó la baja de peso en una nueva variable de dos niveles: ≥ 5% o < 5% del peso inicial, y la estación del año en que ingresaron los pacientes al programa: verano, fecha de ingreso entre diciembre y febrero, otoño entre marzo y mayo, invierno entre junio y agosto, y primavera entre septiembre y noviembre.
Análisis estadístico
Las variables continuas fueron descritas mediante el promedio y su desviación estándar, mientras que las categóricas fueron descritas por las frecuencias.
Se utilizó el test t-Student para comparar: a) el cambio de zIMC, por las variables categóricas sexo y síndrome metabólico, b) la edad, zIMC inicial, HOMA, perímetro de cintura inicial, y TG/HDL, por las variables baja de peso ≥ 5% o < 5% con respecto al peso inicial, y c) la edad, zIMC inicial, zIMC final, HOMA, perímetro de cintura inicial, glicemia inicial, TG/HDL, y tiempo de seguimiento, por las variables abandono o finalización del programa.
Se utilizó el test de Chi cuadrado para comparar a) baja de peso ≥ 5% o < 5% del peso inicial, y b) abandono o finalización del programa, por sexo.
El cambio de zIMC fue comparado por estación del año mediante ANOVA de una vía.
Con análisis de regresión múltiple se estudió el cambio de zIMC respecto de edad, tiempo de estadía en el programa, insulinemia de ayuno, HOMA, porcentaje de grasa por bioimpedanciometría, y circunferencia de cintura.
Para comparar edad, zIMC, perímetro de cintura y TG/HDL con los terciles del HOMA para la muestra de pacientes, se utilizó una ANOVA de una vía, y test de Tukey para comparaciones múltiples.
Se utilizó como significación estadística el 5%.
Los datos fueron procesados en STATA versión 10.0 y SPSS versión 15.0.
Resultados
Descripción de la muestra
Se incluyeron 324 pacientes, de los cuales 52,2% eran mujeres, y 47,8% varones.
Al momento de iniciar el programa, se hizo el diagnóstico de sobrepeso en el 10,6%, y de obesidad en el 89,4%. Un 17,8% de los pacientes (23,6% de los hombres y 12,5% de las mujeres) cumplía con los criterios de síndrome metabólico, y un 4,9% era hipertenso (≥ p95).
Las principales variables continuas, ya sea clínicas y de laboratorio obtenidas al inicio del programa se resumen en la Tabla 1. Ellas se expresan como promedio y desviación estándar.
Tabla 1. Características clínicas y de laboratorio de los pacientes al ingreso al programa. Mujeres Hombres Total 
Entre paréntesis se presenta, como desviación estándar, la dispersión de los promedios.
Evaluación del programa de obesidad
Durante la permanencia en el programa, tanto las mujeres como los varones lograron, en promedio, bajar 6,2% con respecto al peso inicial.
La Figura 1 muestra el porcentaje de pacientes que lograron una baja de peso ≥ 5% del peso inicial, el cual fue 59% para las mujeres y 62% para los hombres.
Los diagnósticos nutricionales para ambos sexos, al inicio y final del programa de obesidad, se muestran en la Figura 2. Un 29,0% de las mujeres y un 22,2% de los hombres deja de ser obeso al finalizar la intervención.

Figura 1. Pacientes con baja de peso igual o mayor a 5% del peso inicial.

Durante el tiempo que se evaluó el programa, se observó baja de peso, estadísticamente significativa, con diferencia entre el zIMC del inicio y final del programa, que fue de –0,28 en los hombres (IC 95%: –0,31 a –0,25, p < 0,001), y –0,29 en las mujeres (IC 95%: –0,32 a –0,26, p < 0,001). No hubo diferencia al comparar ambos sexos. El mismo resultado, referido al total de la muestra estudiada, fue –0,28, (IC 95%: –0,31 a –0,25, p < 0,001).
Se comparó el cambio de zIMC cuando el síndrome metabólico estaba presente al inicio (test t-Student), y por el ingreso al programa según las distintas estaciones del año (ANOVA de una vía). No se observó diferencia significativa que permitiera postular estas variables como predictivas de la respuesta.
La comparación de las variables sexo, edad, zIMC inicial, HOMA, perímetro de cintura inicial, y TG/HDL entre los pacientes que lograron baja de peso ≥ 5% o < 5% del peso inicial se muestra en la Tabla 2. El grupo que logró bajar ≥ 5% de su peso inicial tenía un promedio de edad mayor que el grupo que bajó < 5% (11,6 vs 11,0 años, p = 0,03).
Al comparar las variables sexo, edad, zIMC inicial, zIMC final, HOMA, perímetro de cintura inicial, glicemia inicial, TG/HDL, y tiempo de seguimiento entre los pacientes que abandonan o finalizan el programa, se observó una diferencia estadísticamente significativa de la edad al ingreso entre ambos grupos, y de la relación TG/HDL (Tabla 3).
En comparación con los individuos que abandonan el seguimiento, los que finalizaron el programa eran de mayor edad (11,7 vs 11,0 años, p = 0,01) y tenían una mayor relación TG/HDL (2,7 vs 2,2 años, p = 0,037).
Al agrupar el HOMA en terciles, se observó que aumenta en forma significativa con la edad, perímetro de cintura, y relación TG/HDL. No se observaron diferencias significativas entre los 3 terciles de HOMA al comparar por zIMC inicial (Tabla 4).

**Chi Cuadrado. ** p < 0,05
Entre paréntesis se presenta, como desviación estándar, la dispersión de los promedios.

Entre paréntesis se presenta, como desviación estándar, la dispersión de los promedios.

* Prueba de Tukey para comparaciones múltiples:
a) Tercil 1 versus Tercil 2; valor p < 0,05
b) Tercil 1 versus Tercil 3; valor p < 0,05
c) Tercil 2 versus Tercil 3; valor p < 0,05
Entre paréntesis se presenta, como desviación estándar, la dispersión de los promedios.
** = p < 0,05
Se realizó un modelo de regresión lineal múltiple con las dos variables que fueron predictoras de la respuesta: tiempo de estadía en el programa (directamente proporcional) y circunferencia de cintura inicial (inversamente proporcional). Ambas explicaron un 13,5% (R2 ajustado) del cambio del zIMC (p < 0,001).
El resto de las variables tales como edad, insulinemia basal, HOMA, y porcentaje de grasa medido por bioimpedanciometría, no fueron predictoras del cambio del zIMC.
Además, se pudo estimar que durante la permanencia en el programa, los pacientes lograron disminuir el zIMC en 0,05 puntos por mes (IC 95%: –0,07 a –0,025, p < 0,001).
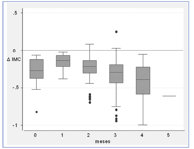
Esto se observa gráficamente en la Figura 3, en que la curva corresponde a la diferencia entre el zIMC inicial y el del control, en función del tiempo de permanencia en el programa.
Con respecto a la circunferencia de cintura inicial, ella se asoció con un aumento del zIMC de 0,0048 puntos por mes (IC 95%: 0,0024 a 0,0072, p < 0,001).
Al evaluar la adherencia al tratamiento, se observó que el 12,9% de los pacientes abandona el programa antes del mes de establecida la intervención, un 12,6% lo hace durante el segundo mes, y un 15,4% durante el tercer mes. Un 59,1% de los pacientes completó el programa de 3 meses, como se observa en la Figura 4.


Discusión
La obesidad se ha convertido en los últimos años en uno de los principales problemas de salud pública de Chile, con un explosivo aumento de incidencia en niños y adolescentes. La tendencia ha sido ininterrumpidamente creciente por lo que es factible esperar que esta situación siga en ascenso en los próximos años2,3.
Dada la situación actual, es de suma importancia y urgencia generar a nivel poblacional estrategias que permitan enfrentar el problema de una manera efectiva y con énfasis en la prevención12, para evitar o minimizar complicaciones y costos económicos resultantes de este aumento.
No existe aún en la literatura consenso acerca del mejor tratamiento para niños con obesidad11. La principal limitante de los estudios es el pequeño número de pacientes incluidos, que resta potencia al análisis, y las pérdidas en el seguimiento a largo plazo, que dificultan la evaluación de los resultados10. Sin embargo, la evidencia disponible, apoya un enfoque basado en programas que combinen modificaciones de la alimentación, actividad física programada, y apoyo psicológico para apoyar los cambios conductuales, los que en conjunto parecen ser la mejor estrategia disponible11-14.
El programa de Obesidad de la Clínica Santa María cumple con estas características, por lo que nos pareció relevante hacer un análisis de su efectividad en el tratamiento de niños con sobrepeso y obesidad.
En nuestra población de pacientes la prevalencia de síndrome metabólico fue de 23,6% en los hombres, y 12,5% las mujeres. En Estados Unidos se ha descrito una prevalencia en aumento, en concordancia con la epidemia de obesidad. En el estudio NHANES III se comunicaba una prevalencia de síndrome metabólico de 28,7% en niños obesos15. En 1999 el estudio de Weiss, que incluyó pacientes entre 4 y 20 años, mostró que el 38,7% de los obesos moderados y el 48,7% de los obesos avanzados tenían síndrome metabólico16, reconociendo que este estudio incluyó niños con obesidades muy marcadas.
En nuestro programa, un 60% de los pacientes logra resultados satisfactorios, con baja de peso mayor a 5% del peso inicial, magnitud que ha demostrado mejorar muchas de las complicaciones médicas de la obesidad en adultos17. Este grupo tenía en promedio una edad mayor con respecto al grupo que baja menos de 5% del peso inicial.
En otro estudio realizado en Chile, Moraga et al18, evaluaron en forma prospectiva a 88 niños en control por obesidad en un policlínico de nutrición, entre enero y agosto del año 2000. La intervención consistió en educación en relación a dieta y actividad física. Un 65% logró bajar más de 5% de su IMC inicial en un período de seguimiento de 6 meses, resultado comparable con el obtenido en nuestro trabajo. En un análisis univariado de los datos, relacionando variaciones porcentuales de peso/talla o IMC con variables personales, familiares, antropométricas, bioquímicas y de actividad física, sólo la edad menor de 5 años se asoció con una respuesta favorable. Estos resultados son distintos a los encontrados en nuestra serie, aunque la edad promedio de las poblaciones estudiadas difiere en forma importante, siendo el promedio de edad de 9,6 (DS 3,3) en el estudio de Moraga18, y de 11,34 (DS 2,6) en este trabajo.
El grupo que completa el programa de obesidad presentaba también en forma significativa un mayor promedio de edad, y relación TG/HDL. Este último parámetro se ha visto asociado a resistencia a la insulina y mayor circunferencia de cintura, parte esencial del síndrome metabólico19,20.
Durante la permanencia de los niños y adolescentes en el programa, éste demostró ser efectivo en lograr que la baja de peso fuese sostenida en el tiempo, lo que ocurrió tanto en hombres como en mujeres. Avalan estos resultados el tamaño de la muestra, con 324 niños reclutados a los largo de 8 años de realización del programa.
De las variables estudiadas, sólo el tiempo de permanencia en el programa se asoció en forma significativa con un cambio del zIMC, lo que apoya el beneficio de las intervenciones más prolongadas.
Con respecto a la circunferencia de cintura, ésta paradójicamente predijo el aumento de peso; se podría especular que la mayor circunferencia de cintura está relacionada con un aumento de la resistencia insulínica, condición que hace más difícil la baja de peso según diferentes estudios21. Sin embargo, este dato tiene la limitación que se tomó como valor absoluto, y no fue ajustado por edad por falta de tablas específicas para nuestra población.
En nuestro trabajo, un 40,9% de los pacientes no completó la intervención. En el estudio de Moraga18 destaca que un 48% de los pacientes abandona el seguimiento a los 6 meses. Otro estudio realizado en Chile por Barja et al22, que analizó la adherencia a mediano plazo de 120 pacientes obesos al tratamiento médico convencional, observó que a 12 meses sólo un 18,3% de ellos seguía en control regular.
Nuestro estudio presenta algunas limitaciones, como la carencia de seguimiento a largo plazo que permitiera una evaluación más completa de la intervención, y también la ausencia de un grupo control.
El principal problema observado en las intervenciones en obesidad es la pérdida del seguimiento, resultado que ha sido concordante en los distintos trabajos nacionales. En este sentido son de gran importancia las intervenciones de tipo motivacional, para mantener a los pacientes en control, y así lograr sostener los efectos positivos de la intervención10.
En conclusión, nuestro estudio demuestra que en niños y adolescentes, ingresar a un programa integral de obesidad logra una baja de peso sostenida, que es directamente proporcional al tiempo de permanencia bajo control, lo cual aconseja efectuar intervenciones prolongadas con especial énfasis en la adherencia al tratamiento.
Es importante continuar estudiando las intervenciones en este tema, con evaluaciones a largo plazo, de modo de generar más conocimiento, debido a la importancia creciente que el problema de la obesidad ha adquirido en Chile y en el mundo.
Lo más importante será siempre prevenir la malnutrición por exceso, especialmente por la relación costo-beneficio; estos programas son onerosos y requieren muchas horas profesionales; además, aunque sus resultados son buenos a corto plazo, no se conoce su utilidad a largo plazo.
Creemos que el foco de atención debería estar en la población preescolar, con inclusión de todo el grupo familiar, debido a la creciente prevalencia del problema en este grupo. Tratar las consecuencias a edades mayores siempre será menos efectivo, más caro y más tardío.
Referencias