1Facultad de Medicina, Universidad de los Andes.
2División de Bioestadística, Escuela de Salud Pública, Universidad de Chile.
El test de Log Rank
Un problema fundamental en el análisis de sobrevida es
comparar dos o más curvas de sobrevida estimadas a través
del método de Kaplan-Meier, una forma de resolver esta
cuestión es a través de la dócima de log-rank.
La dócima de log-rank supone que las muertes (eventos) que se producen en dos o más grupos son proporcionales al riesgo que tiene cada intervalo al interior de cada grupo y no al efecto del grupo propiamente tal, o dicho de otro modo, el número de muertes depende sólo del tamaño del grupo. Por ejemplo, si se tienen dos grupos de modo que el grupo 1 tiene 70 sujetos mientras que el grupo 2 tiene 30 sujetos, el peso del grupo 1 es 7/10 y el peso del grupo 2 es 3/10, si el total de muertes en ambos grupos es de 20 personas, la cantidad de muertes son repartidas en forma proporcional es decir: en el grupo 1 asignamos 7/10*20=14 muertes y al grupo 2 asignamos 3/10*20=6 muertes. Es evidente que si los grupos fueran de igual tamaño, la asignación de muertes es igual a ambos grupos. Lo anterior no es otra cosa que el concepto de equiprobabilidad. Como ya se ha insinuado, la repartición proporcional se puede hacer intervalo a intervalo y finalmente obtener las muertes esperadas y observadas por grupo para decidir si difieren significativamente.
Para desarrollar la idea seguiremos considerando dos grupos y el intervalo i-ésimo, así sean:
De igual modo sean:
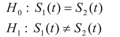
Ahora bien si se plantea la dócima:
Es decir la hipótesis nula es que las curvas no difieren.
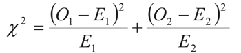
La estadística de prueba es:
que sigue una distribución
.
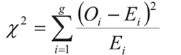
El desarrollo anterior se puede generalizar a g grupos, en cuyo caso la estadística de prueba es:
que sigue una distribución
.
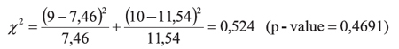
Se sospecha que la presencia carcinógeno DMBA, es determinante en el tiempo de sobrevida de mujeres con cáncer cérvico-uterino, para probar tal hipótesis se registró el tiempo de sobrevida en días y la presencia del mencionado carcinógeno, recogiendo los siguientes datos:
Los datos los disponemos en la siguiente tabla:
Luego:
por lo tanto, no hay suficiente evidencia para afirmar que las curvas de sobrevida difieren, esta situación se puede observar en la siguiente figura:
