1Facultad de Medicina, Universidad de los Andes.
2División de Bioestadística, Escuela de Salud Pública, Universidad de Chile.
Un clásico problema de evaluación de respuestas clínicas, es cuando un sujeto es evaluado antes de someterse a un tratamiento y luego después de terminado
el tratamiento, es decir, el paciente es su propio control. Si la variable respuesta está medida en escala intervalar o de razón, las metodologías de análisis son bastante conocidas: el test t- Student para datos pareados o el test de Wilcoxon para datos pareados. Sin embargo, si la respuesta es binaria (con mejoría versus sin mejoría) la situación se complejiza pues la transición de los estados puede ser de la siguiente forma:
| Antes | Después |
| Sin mejoría (0) | Con mejoría (1) |
| Sin mejoría (0) | Sin mejoría (0) |
| Con mejoría (1) | Con mejoría (1) |
| Con mejoría (1) | Sin mejoría (1) |
Un análisis viable, pero poco elaborado, es cuantificar la proporción de mejoría en el instante "después" y concluir con la probabilidad de estar en "mejoría" en dicho instante, sin distinguir la condición inicial. Este razonamiento sobreestima la proporción de "mejoría", pues cuenta en la proporción de éxitos a aquellos que partieron en condición de "mejoría" en cuyo caso, evidentemente, el tratamiento no hizo ningún efecto. El mismo razonamiento es pertinente si quisiéramos evaluar la condición final no deseada de "sin mejoría". Ilustremos con un ejemplo:
La tabla siguiente muestra:
| Después | |||
| Antes | Sin mejor | Con mejor | Total |
| Sin mejoría | 5 | 40 | 45 |
| Con mejoría | 3 | 10 | 13 |
| Total | 8 | 50 | 58 |
El análisis poco elaborado, al que hacíamos referencia, es cuantificar los mejorados en el instante después, es decir, concluiríamos que la proporción de mejoría es de 50/58= 0,862 (86,2%), esta proporción incluye a 10 sujetos cuyo estado inicial es igual al final (siempre estuvieron en mejoría) y por lo tanto no hay un efecto atribuible al tratamiento. Obviamente que la proporción de mejorados es de 40/45=0,899 (90,0%), pues son ellos los que transitaron desde "sin mejoría" a "mejoría". Pero esta última cifra no considera los otros estados de transición.
La solución correcta está dada por el test y Odds Ratio de McNemar, que hace una relación entre los sujetos concordantes (pasan de "no mejoría" a "mejoría") y los sujetos discordantes (pasan de "mejoría" a "no mejoría), pues para los otros estados de transición el tratamiento no funcionó. Al considerar la siguiente tabla:
| Antes | |||
| Después | No mejora | Mejora | Total |
| No mejora | n11 | n12 | n1. |
| Mejora | n21 | n22 | n2. |
| Total | n.1 | n.2 | n.. |
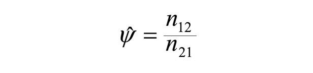
Así la medida de asociación es un Odds Ratio, que está dado por:

Es decir, la cantidad de sujetos que pasan de un estado de "no mejoría" a "mejoría" dividido entre cantidad de sujetos que pasan de un estado de "mejoría" a "no mejoría", que mide la discordancia en la acción del tratamiento.
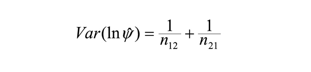
La varianza del logaritmo natural de este Odds Ratio está dada por:

Con lo que el intervalo de confianza de nivel 95% tiene como límites:

Y para docimar
se puede utilizar la estadística:

Que sigue una distribución normal estándar o bien el cuadrado de esta expresión sigue una distribución x2 con 1 grado de libertad.
Para el ejemplo propuesto, se obtienen los siguientes resultados:
OR = 13,3 con intervalo de confianza del 95%: 4,24 a 67,4 y p-value = 0,0000
Esto es: el tratamiento es 13,3 veces más efectivo que la mejoría por azar y con significación menor al 1%.
A continuación se muestra la salida de STATA versión 13.0:
| Controls | ||||
| Cases | Exposed | Unexposed | Total | |
| Exposed | 10 | 40 | 50 | |
| Unexposed | 3 | 5 | 8 | |
| Total | 13 | 45 | 58 | |
| McNemar's x2 (1) = 31,84 Prob > x2 = 0,0000 | ||||
| Exact McNemar significance probability = 0,0000 | ||||
| Proportion with factor | ||||
| Cases | .862069 | |||
| Controls | .2241379 | [95% Conf. Interval] | ||
| difference | .637931 | .4718624 | .8039996 | |
| ratio | 3.846154 | 2.323241 | 6.367354 | |
| rel. diff. | .8222222 | .7017995 | .942645 | |
| odds ratio | 13.33333 | 4.246391 | 67.37374 | (exact) |