Rev. chil. endocrinol. diabetes 2018; 11 (3)    Volver a Índice

 

Artículo Original

Formoline L112® asociado a terapia no farmacológica en el manejo de la obesidad en diabéticos y prediabéticos

Lilian Sanhueza1,2, Daniel Moreno3, Pilar Durruty1,4,a

 

Formoline L112® associated with non pharmacological therapy in the management of obesity in diabetic and prediabetic patients

1 Unidad de Diabetes, Hospital San Juan de Dios.
2 Profesor Asociado Universidad de Santiago de Chile,
Centro de Especialidades Médicas Hospital del Trabajador
Santiago.
3 Hospital de Litueche, Servicio de Salud O´Higgins.
4 Servicio de Endocrinología y Diabetes Hospital Clínico
Universidad de Chile.
a Bioquímico.


Correspondencia:
Lilian Sanhueza
Dirección: Fray Camilo Henríquez 175 Depto. 404 Santiago.
Teléfono celular: 8595 1069
Correo electrónico: lilianllay@yahoo.es


Sin conflictos de interés.


Recibido: 26-03-2018
Aceptado: 28-05-2018

Abstract: Obesity, a global epidemic according to the WHO, reports more than 650 million obese people who increase annually. Treating obesity is a multidisciplinary challenge. Formoline L112® presentation tablet, is a bioactive linear molecule of polysaccharide glucosamine, that prevents the absorption of lipids at the level of the intestinal lumen, reducing the absorption of fats. Objective. To evaluate the effectiveness and safety of Formoline L112® associated with non-pharmacological measures to treat obesity in type 2 and prediabetic diabetics. Patients and method. 25 obese patients, 80% female sex, type 2 diabetics or prediabetics, metformin and non-pharmacological therapy, Formolin L112® was associated for 12 weeks with a food plan and individualized and controlled physical activity. Excluded: neoplasms, cardiovascular disease, gastrointestinal, renal, allergies and psychiatric pathology such as bulimia and / or anorexia. Anthropometric and nutritional parameters controlled fortnightly, up to 12 weeks. Laboratory at the beginning and end of the treatment. Statistical analysis used the SPSS program, mean, standard deviation, median and percentiles. Statistically significant p< 0.05. Results Weight reduction from 93 ± 18 to 90 ± 19 kg, body mass index from 35 ± 6 to 34 ± 6 kg/m2, waist circumference from 109 ± 11 to 105 ± 11 cm and systolic blood pressure of 125 ± 12 to 117 ± 11 mmHg (p< 0.05). Fasting glycemia decreased from 100 ± 40 to 96 ± 33 mg/dl, HbA1c from 7.8 ± 1.1 to 7.2 ± 0.9%, and triglycerides from 151 ± 68 to 126 ± 39 mg/dl (p< 0.05). The LDL cholesterol reduction was from 109 ± 34 to 106 ± 30 mg/dL (NS). All completed 12 weeks with Formolin L112®, none presented adverse reactions. There was an increased of the frequency of steatoric depositions. Conclusion. The use of Formoline L112® is a safe and effective option to treat obesity in diabetics and prediabetics at 12 weeks of treatment. Key words: Obesity; Formoline L112®; Cardiovascular risk; Diabetes.

 

Resumen: La obesidad, epidemia mundial según la OMS, reporta más de 650 millones de obesos que aumentan anualmente. Tratar la obesidad es un desafío multidisciplinario. Formoline L112® presentación comprimidos, es una molécula bioactiva de glucosamina, polisacárido lineal que impide la absorción de lípidos a nivel del lumen intestinal, reduciendo la absorción de grasas. Objetivo. Evaluar efectividad y seguridad de Formoline L112® asociado a medidas no farmacológicas para tratar la obesidad en diabéticos tipo 2 y prediabéticos. Pacientes y método. 25 pacientes obesos, 80% sexo femenino, diabéticos tipo 2 o prediabéticos, con metformina y terapia no farmacológica, se asoció Formolin L112® durante 12 semanas con un plan alimentario y actividad física individualizada y controlada. Excluidos: neoplasias, enfermedad cardiovascular, gastrointestinal, renal, alergias y patología psiquiátrica como bulimia y/o anorexia. Parámetros antropométricos y nutricionales controlados quincenalmente, hasta las 12 semanas. Laboratorio al inicio y término del tratamiento. Análisis estadístico utilizó el programa SPSS, media, desviación estándar, mediana y percentiles. Estadísticamente significativo p< 0,05. Resultados. Reducción de peso de 93±18 a 90±19 kg, el índice de masa corporal de 35±6 a 34±6 kg/m2, la circunferencia de cintura de 109±11 a 105±11 cm y la presión arterial sistólica de 125±12 a 117±11 mmHg (p <0,05). La glicemia de ayunas disminuyó de 100± 40 a 96±33 mg/dl, HbA1c de 7,8±1,1 a 7,2±0,9%, y los triglicéridos de 151±68 a 126±39 mg/dl (p<0,05). La reducción del colesterol LDL fue de 109±34 a 106±30 mg/dl (NS). Todos completaron 12 semanas con Formolin L112®, ninguno presentó reacciones adversas. Si aumentó la frecuencia de deposiciones esteatorreicas. Conclusión. El uso de Formoline L112® es una opción segura y efectiva para tratar la obesidad en diabéticos y prediabéticos a las 12 semanas de tratamiento.

Palabras clave: Obesidad; Formoline L112®; Riesgo cardiovascular; Diabetes.

Introducción

La obesidad es considerada una epidemia a nivel mundial; datos aportados por la Organización Mundial de la Salud del año 2016 arrojan cifras de 650 millones de obesos mayores de 18 años, y a su vez, 350 millones de niños y adolescentes entre 5 y 19 años de edad1. Existen diversos factores que determinan la obesidad en los diferentes países, entre ellos los cambios propios de la vida moderna relacionados con una alimentación poco saludable y trabajos sedentarios. En mayor medida (65% de los países evaluados) existe un aumento de las calorías disponibles en las dietas, particularmente la comida rápida, preferida por población joven dada su accesibilidad y bajo costo2,3.

El sobrepeso y la obesidad se relacionan directamente con morbimortalidad y tienen un gran impacto en la economía mundial. Se ha proyectado que su prevalencia se incrementará en un 40% en la próxima década, lo cual cobra gran importancia aludiendo a su relación como factor de riesgo para las enfermedades crónicas no transmisibles, como la nefropatía4.

La obesidad es un impor tante factor de riesgo cardiovascular modificable, dado a que es posible tomar acciones claras y dirigidas para su manejo5.

En Chile la Encuesta Nacional de Salud 2016-2017 mostró una prevalencia de un 74,2% de malnutrición por exceso (39,8% de sobrepeso, 31,2% de obesidad, 3,2% de obesidad mórbida), sedentarismo en un 86,7% y síndrome metabólico en un 40,1% en la población mayor de 15 años5,6. Diferentes programas y estudios se han realizado a nivel nacional y mundial para el manejo de estos factores de riesgo, con pobres resultados, debido la escasa adherencia de los pacientes7,8,9,10.

Una alternativa para ayudar a potenciar la terapia no farmacológica sería implementar un plan de alimentación de acuerdo a la accesibilidad económica de cada paciente y una actividad física que se ajuste a la realidad individual, que muchas veces se ve afectada por las largas y sedentarias jornadas laborales. La terapia farmacológica específica para el tratamiento de la obesidad que disponemos actualmente, es de alto costo o con potenciales efectos adversos dado su mecanismos de acción a nivel del sistema nervioso central favoreciendo efectos anorexígenos.

La molécula bioactiva Formoline L112® es un polisacárido lineal conformado por un polímero β-(1-4) de D-glucosamina y N-acetil-glucosamina de origen natural, obtenido de las conchas de crustáceos cuyo mecanismo de acción se basa en sus características como adsorbente de sustancias lipídicas utilizando la vía de la excreción fecal, sin ser absorbido a nivel del tracto gastrointestinal con acción intraluminal11,12,13.

El objetivo del presente estudio es evaluar la efectividad y seguridad de Formolin L112® en un grupo de obesos diabéticos y prediabéticos.

Sujetos y Método

Se enrolaron 25 pacientes 84% de sexo femenino, con edad promedio de 43±14 años, 15 portadores de diabetes mellitus tipo 2 de reciente diagnóstico y 10 prediabéticos, controlados en el Centro de Especialidades Médicas del Hospital del Trabajador Santiago, todos mayores de 18 años de edad, motivados y con índice de masa corporal (IMC) mayor a 30 kg/m2. En todos los pacientes la motivación fue bajar de peso para mejorar su calidad de vida al aumentar su capacidad funcional y mejorar su imagen corporal. Todos firmaron el consentimiento informado. Se certificó ausencia de embarazo realizando una subunidad β-HCG sérica al ingreso.

En la historia clínica se consignó la presencia de alergias alimentarias, principalmente a los crustáceos dado el origen de la molécula. Los criterios de exclusión consideraban antecedentes de neoplasias, enfermedad renal y cardiovascular, diarreas crónicas, síndrome de intestino irritable, intolerancia a la lactosa y antecedentes psiquiátricos respecto de bulimia y anorexia.

El plan de alimentación fue individualizado de acuerdo al IMC, actividad física, gustos personales y costo, distribuyéndose en 4 comidas principales y dos colaciones. Las calorías fueron calculadas de acuerdo a las recomendaciones FAO-OMS 2004, 20-25 cal/kg/peso realizando una restricción de un 20% por la condición de obesidad. Con respecto a la actividad física se indicó un total de 150 minutos de ejercicios aeróbicos distribuidos tres veces por semana de moderada intensidad (Asociación Americana de Diabetes) realizados en su domicilio14.

Todos los pacientes tomaban dos comprimidos de 850 mg de metformina por su patología de base15,16.

Se inició el tratamiento con la molécula bioactiva de poliglucosamina Formoline L112®, dos comprimidos de presentación única previo a las comidas de mayor contenido graso, considerando los hábitos alimentarios en Chile (almuerzo y cena) y con abundante agua para facilitar su mecanismo de acción.

La evaluación clínica se realizó al inicio y quincenalmente por un período de 12 semanas que consideró peso (kg), IMC (kg/m2) y circunferencia de cintura (cc) en cm. El peso y la talla se midieron en una balanza marca Seca con cartabón. Se consideró normopeso un IMC entre 18,5-24,9 kg/m2, sobrepeso entre 25-29,9 kg/m2, Obesidad Grado I: IMC 30-34,9 kg/m2, Obesidad Grado II: IMC 35-39,9 kg/m2 y Obesidad Grado III: IMC ≥40 Kg/m2,17,18,19,20. Se realizó la medición de circunferencia de cintura con una cinta métrica, donde se definió el riesgo cardiovascular elevado en hombres con cc≥ 102 cm, mientras que en mujeres cc≥ 88 cm respectivamente17,20,21,22, se consignó la presión arterial, la frecuencia cardíaca, la presencia de ictericia, hepatomegalia y edema. La presión arterial (mmHg) se midió con un esfingomanómetro de mercurio, estando los pacientes sentados, en dos repeticiones por brazo y sin haber fumado ni recibido alimentos mínimo 30 minutos previos17. Se consideró normal una presión arterial sistólica: (PAS) de 120-139 mm Hg o PA diastólica (PAD) 80-89 mm Hg. Hipertensión Arterial (HTA): PAS≥ 140 mm Hg o PAD≥ 90 mm Hg17,18.

Se registró glicemia de ayunas, perfil lipídico, hemograma, pruebas hepáticas, nitrógeno ureico, creatinina, orina completa y HbA1c. Se analizaron las muestras con métodos enzimáticos colorimétricos en un equipo automatizado Architec 8.000, con coeficientes de variación menores a 5%. Para las glicemias se usó hexoquinasa/6, para el colesterol HDL y triglicéridos se utilizó un detergente acelerador selectivo. Las HbA1c se determinaron en columnas de cromatografía líquida de alta resolución (HPLC) utilizando un equipo Variant 2.00015,16,17.

Se definió prediabetes a los pacientes con glicemias de ayunas entre:100 y 125 mg/dl; diabetes mellitus tipo 2 con glicemias ≥ 126 mg/dl, con ayuno 8-12 horas, repetido en dos días diferentes17,20,21. Los estados dislipidémicos consideran un colesterol total (CT)≥ 200 mg/dl, colesterol HDL (col-HDL) ≤ 40 mg/dl en hombres, ≤ 50 mg/dl en mujeres, colesterol LDL (col-LDL)≥ 100 mg/dl en diabéticos y prediabéticos y triglicéridos≥ 150 mg/dl17,20,22.

El análisis estadístico, se realizó con el programa SPSS (SPSS versión 1.0.0.488, edición de 32 bits). Las variables numéricas fueron expresadas por la media y desviación estándar, se verificó la normalidad de la distribución de las diferencias de las variables mediante la prueba de Shapiro-Wilk. En el caso de las muestras relacionadas con distribución normal, se realizó la comparación con la prueba T de Student y en los casos de descartar la hipótesis nula de distribución normal, con la prueba de Wilcoxon. Se utilizó un nivel de significancia de p< 0,05.

Resultados

La evaluación inicial del grupo reveló que el 64% presentaba obesidad Clase I, 20% obesidad Clase II y 16% una obesidad Clase III. Del grupo de obesos clase I, 4 pacientes (15% del total) disminuyeron su IMC bajando su categoría de obesos clase I a sobrepeso.

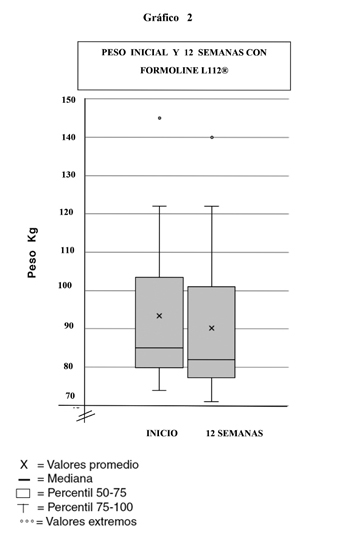
Todos los participantes tenían riesgo cardiovascular elevado, según los límites superiores de circunferencia de cintura. Al finalizar las 12 semanas de tratamiento, se redujo el IMC promedio (p< 0,05) (Gráfico 1). Se constató una baja de peso promedio de 3 kilos (p< 0,05) (Gráfico 2), sin embargo, solo el 20% de la muestra logró disminuciones mayores al 5% del peso corporal. La circunferencia de cintura bajó en promedio 5 cm (p< 0,05) (Gráfico 3) y la presión arterial sistólica de 125±12 a 117±11 mmHg (p< 0,05). Con respecto a los exámenes de laboratorio, la glicemia de ayunas disminuyó de 100±40 a 96±33 mg/dl, la HbA1c de 7,8±1,1 a 7,2±0,9% (p< 0,05).

Destaca una disminución de las cifras de colesterol total tras la intervención con Formolin L112® de 194±38 a 184±32 mg/dl (p< 0,05). Cabe mencionar que del 44% de los sujetos que presentaron una hipercolesterolemia total sobre 200 mg/dl (11 pacientes), 3 normalizaron los niveles de colesterol tras la intervención (12%). El 52% de los participantes (13 sujetos) presentó elevación de los triglicéridos en el registro inicial, de los cuales 4 (16%) normalizaron dichos valores tras la intervención; en promedio disminuyeron de 151±68 a 126±39 (p< 0,05). El colesterol HDL varió de 48±15 a 49±15 mg/dl (p< 0,05). Con respecto al colesterol LDL este se redujo de 109±34 a 107±30 (NS) (Tabla 1). La GPT disminuyó de 38±31 a 33±112 la fosfatasa alcalina de 89±24 a 83±16 (UI/L) (p< 0,05). En relación a la disminución en kg de peso, se pudo apreciar que el 32 % bajó entre 1-2 kilos, el 48% entre 3-4 kilos, el 16% entre 5-6 kilos y el 4% entre 7-8 kilos.

Los parámetros analizados se presentan en la Tabla 1. Todos los pacientes completaron las 12 semanas con Formolin L112® y ninguno presentó reacciones adversas. Al ser interrogados dirigidamente, existe un aumento en la frecuencia de las deposiciones de carácter esteatorreico, sin sangre ni restos alimentarios, sin dolor abdominal, ni urgencia.




Tabla 1. Parámetros antropométricos y de laboratorio al inicio y posterior a 12 semanas de tratamiento con Formoline L112®.

  Inicio 12 semanasFormoline L112®  p
IMC (kg/m2) 35±6 34±6 < 0,05
Peso (kg) 93±18 90±19  < 0,05
Circunferencia de cintura (cm) 109±11 105±11 < 0,05
P.A.Sistólica (mmHg) 125±12 117±11 < 0,05
P.A. Diastólica (mmHg) 69±6 69±6 NS
Glicemia ayunas (mg/dl) 100±40 96±33 < 0,05
HbA1c (%) 7,8±1,1 7,2±0,9 < 0,05
Colesterol total (mg/dl) 194±38 184±32 < 0,05
Colesterol HDL (mg/dl) 48±15 49±15 < 0,05
Colesterol LDL (mg/dl) 109±34 107±30 NS
Triglicéridos (mg/dl) 151±68 126±39 < 0,05
GPT (U/L) 38±31 33±12 < 0,05
GOT (U/L) 29±15 27±9 NS
Fosfatasa Alcalina (UI/L) 89±25  83±16 < 0,05
BUN (mg/dl) 15±3,4 15±3  NS
Creatinina (mg/dl) 0,7±0,1 0,7±0,1 NS
VFG (mL/min/1,73 m2) 100±17 101±15  < 0,05

Discusión

En la actualidad existen diversos tratamientos que permiten una disminución de los factores de riesgo cardiovascular entre ellos la obesidad. Todos consideran la instauración de medidas no farmacológicas individualizadas, y esta es la enorme responsabilidad del equipo multidisciplinario, para lograr adherencia en cambios en el estilo de vida, y que se mantengan en el tiempo.

Hoy en día existe la posibilidad de una molécula bioactiva Formoline L112® que es una alternativa en el tratamiento de la obesidad asociado a dieta y ejercicio24. En nuestra experiencia en obesos prediabéticos y diabéticos (Tabla 1) se obtuvo resultados prometedores respecto al manejo de la obesidad y de los otros factores de riesgo.

El tratamiento con adsorbentes grasos permite reducir las calorías de la dieta por medio de la interrupción de la absorción lipídica intestinal, y con ello se estimula el catabolismo, permitiendo un mayor gasto calórico y por ende una pérdida de peso12,13. Debemos considerar por otra parte que los planes alimentarios muy bajos en grasas pueden no ser seguros ya que excluyen alimentos que son importantes fuentes de energía y vitaminas liposolubles.

Reportes internacionales revelan que Formoline L112® se asocia a una mejoría del perfil lipídico, con efectos teóricos importantes sobre el proceso de aterosclerosis20; como también fuera comprobado en nuestra experiencia21,23. Las características de las deposiciones nos permiten inferir que no existe malabsorción, a nivel del lumen intestinal, que obligarían a suplementar con proteínas, vitaminas liposolubles o electrolitos.

El importante aporte de Formoline L112® radica en su seguridad, prácticamente no existen efectos adversos al no ser absorbido hacia la circulación sanguínea gracias a su efecto intraluminal14. Es decir, no se presentan efectos adversos como crisis hipertensivas, o efectos cerebrales a nivel del centro del apetito que puedan ser atribuibles al fármaco. Formoline L112® no tiene efectos anorexígenos. Los tan temidos efectos de rebote, causados por grandes pérdidas de peso que al suspender el fármaco utilizado recuperan su peso anterior, teóricamente no debieran presentarse por la baja progresiva en promedio 3 kilos al mes, asociado a una mayor conciencia de las medidas no farmacológicas. Este estudio sólo consideró un período de 12 semanas, por lo que no es posible proyectar los efectos por un mayor tiempo, pero creemos que serían favorables.

La obesidad es una situación estresante en la vida del paciente y en su entorno, implementar un estilo de vida saludable es difícil, se requiere un buen soporte familiar, un ambiente laboral gratificante, educación permanente y por sobre todo perseverancia.

Referencias bibliográficas

  1. World Health Organization. Obesity: Preventing and Managing the Global Epidemic. WHO technical report series; 2000; 894: 16-34.
  2. Organización Mundial de la Salud boletín Julio 2005, disponible en: http:// www.who.int/bulletin/releases/NFM0715/es/
  3. Morales G, Guillen-Grima F, Muñoz S, Belmar C, Schifferli I, Muñoz A, et al. Factores de Riesgo cardiovascular en universitarios de primer y tercer año. Rev Med Chile 2017; 145: 299-308.
  4. Kovesdy C, Furth S, Zoccali C. Obesity and kidney disease: hidden consequences of the epidemic. Rev Med Chile 2017; 145: 281-291.
  5. Ministerio de Salud de Chile, Pontificia Universidad Católica, Encuesta Nacional de Salud ENS 2016-2017.
  6. Henríquez S, Barrera G, Hirsch S, de la Maza M, Jara N, et al. Evaluación de un programa ministerial para manejo de síndrome metabólico en adultos con sobrepeso y obesidad. Rev Med Chile 2014; 142: 817-825. 7.
  7. ear randomized trial of obesity treatment in primary care practice. N Engl J Med 2011; 365: 1969-1979.
  8. Jebb SA, Ahern AL, Olson AD, Aston LM, Holzapfel C, Stoll J, et al. Primary care referral to a commercial provider for weight loss treatment versus standard care: a randomised controlled trial. Lancet 2011; 378: 1485-1492.
  9. Admiraal WM, Vlaar EM, Nierkens V, Holleman F, Middelkoop BJ, Stronks K, et al. Intensive lifestyle intervention in general practice to prevent type 2 diabetes among 18 to 60-year-old south asians: 1-year effects on the weight status and metabolic profile of participants in a randomized controlled trial. PLOS ONE 2013; 8 (7): 1-10.
  10. Saaristo T, Moilanen L, Korpi-Hyovalti E, Vanhala M, Saltevo J, Niskanen L, et al. Lifestyle intervention for prevention of type 2 diabetes in primary health care: one-year follow-up of the Finnish National Diabetes Prevention Program (FIN-D2D). Diabetes Care 2010; 33: 2146-2151.
  11. Cnubben NH, Tel SL, Hemmes MA, Langenkamp-Brand A, Grossouw D, Jansen HT, et al. A single oral dose of polyglucosamine influences the bioavailability of [9-(14)C]- Oleic Acid in female Gottingen minipigs. BMC Obesity 2016; 3: 1-12.
  12. Willers J, Plötz S C, Hahn A. The combination of a high-protein formula diet and polyglucosamine decreases body weight and parameters of glucose and lipid metabolism in overweight and obese men and women. European Journal of Food Research & Review 2012; 2(1): 29-45.
  13. Pokhis K, Bitterlich N, Cornelli U, Cassano G. Efficacy of polyglucosamine for weight loss – confirmed in a randomized double-blind, placebo-controlled clinical investigation. BMC Obesity 2015; 2: 1-8.
  14. Sanhueza L, Carrasco E. Tratamiento nutricional del Paciente Diabético. En: Diabetes Mellitus, tercera edición, Editorial Mediterráneo. Manuel García de los Ríos, Pilar Durruty (eds). Editorial Mediterráneo. 3ª Edición, Santiago, Chile, 2014, pag: 77-85.
  15. Sanhueza L, Concha L, Durruty P, Rubio C, Wolff C, García de los Ríos M. Diabéticos tipo 1 portadores de síndrome metabólico: cuantificación de la resistencia a la insulina. Rev Chil Endocrinol Diabetes 2014; 7(3): 89-93.
  16. Sanhueza L, Durruty P, Rubio C, García de los Ríos M. Metformina asociada a insulinoterapia en pacientes diabéticos tipo 1. Rev Chil Endocrinol Diabetes 2015; 8(2): 57-62.
  17. MINSAL, Ministerio de Salud. Gobierno de Chile. Guía Clínica Hipertensión Arterial Primaria o esencial en personas de 15 años y más. 2010.
  18. The Seventh Report of the Joint National Committee on Prevention, Detection, Evaluation, and Treatment of High Blood Pressure, JNC 7, disponible en: https://www.nhlbi.nih.gov/files/docs/guidelines/jnc7full.pdf.
  19. Moreno M. Circunferencia de cintura: una medición importante y útil del riesgo cardiometabólico. Rev Chil Cardiol 2010; 29: 85-87.
  20. Third Report of the National Cholesterol Education Program (NCEP) Expert Panel on Detection, Evaluation, and Treatment of High Blood Cholesterol in Adults (Adult Treatment Panel III) Final Report (2002). Circulation 2002; 106: 3143-3421.
  21. MINSAL, Ministerio de Salud. Gobierno de Chile. Guía Clínica Diabetes Mellitus.
  22. http://web.minsal.cl/portal/url/item/72213ed52c3e23d1e04001011f011398. pdf.
  23. Cornelli U, Belcaro G, Cesarone M, Cornelli M. Use of polyglucosamine and physical activity to reduce body weight and dyslipidemia in moderately overweight subjects. Minerva Cardioangiol 2008; 10(5 Suppl): 71-78.