1Facultad de Medicina, Universidad de los Andes.
2División de Bioestadística, Escuela de Salud Pública, Universidad de Chile.
Estimador de Kaplan-Meier
Un problema fundamental que se debe abordar es estimar la función de sobrevida cuando existen censuras en la muestra. Para resolver este problema se han propuesto algunas alternativas tales como: el método actuarial, el método de las tablas de vida y el método de Efron; sin embargo la mejor propuesta que se ha hecho es la conocida estimación de Kaplan y Meier, que fue publicada en el JASA (Journal American Statistics Association) el año 1958, que se expondrá con detalle a continuación.
La estimación de Kaplan-Meier es un método no paramétrico (no asume ninguna función de probabilidad para la función de sobrevida) y por máxima verosimilitud, es decir se basa en maximizar la función de verosimilitud (es decir la probabilidad de haber observado una determinada colección de datos) de la muestra (metodología que se conoce como verosimilitud generalizada). Una muestra aleatoria de tamaño n, extraída de una población, estará formada por k (k ≤ n) tiempos t1 < t2< …< tk en los que se observan eventos. En cada tiempo ti existen ni "individuos en riesgo de morir " (elementos de la muestra para los que el evento puede ocurrir, o que T ≥ ti) y se observan di eventos (muertes). Además en el intervalo [ti, ti+1) se producen mi pérdidas (censuras).
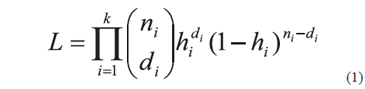
La función de verosimilitud para toda la muestra es:

pues se asume que en cada intervalo de tiempo los eventos siguen una distribución binomial con n = ni y p = hi. Para construir esta función se ha asumido que la información contenida en las pérdidas es que, para cada una de ellas, el evento ocurre en un tiempo mayor que el tiempo en que se observa la pérdida. Maximizando esta función se encuentra que el estimador de hi en cada intervalo es:
Es decir la cantidad de muertes observadas en un intervalo dividida por la cantidad de sujetos expuestos a riesgo de morir al inicio del intervalo.
Recordando que la función de sobrevida, para tiempos discretos se puede escribir como:
Pues la probabilidad de sobrevivir a un determinado intervalo de tiempo es una probabilidad condicionada a haber llegado vivo a dicho intervalo. Así al reemplazar h por su estimador (ecuación 2) en la ecuación 3 se obtiene el estimador de la función de sobrevida de Kaplan-Meier (también denominada estimador producto límite):
Ejemplo:
Se sigue en el tiempo a 12 individuos con una prótesis cardiaca y se encuentran los siguientes tiempos de sobrevida en años: 6+, 6, 6, 6, 10, 12+, 12, 15, 15+, 17, 22, 22, donde el signo más indica censura; es decir se perdieron 3 individuos en los tiempos 6, 12 y 15. La manera más cómoda de calcular los estimadores anteriores es disponer los datos en una tabla como la siguiente:
La función de sobrevida estimada se puede representar gráficamente como sigue:
El gráfico de la estimación de sobrevida de Kaplan-Meier es muy informativo, pues el ancho del escalón, indica la magnitud del intervalo de tiempo en que se observaron muertes, mientras que el alto indica la magnitud de las incidencias de muerte en dicho intervalo.
